Os juros de parcelamento do cartão de crédito são os encargos financeiros aplicados quando você decide dividir uma compra em várias parcelas. Esses juros são calculados com base na taxa de juros mensal aplicada pelo emissor do cartão.
Qual é a taxa de juros mensal aplicada?
A taxa de juros mensal aplicada é de 2,923%. Esta é a taxa que será aplicada sobre o saldo devedor a cada mês.
O que é a Tabela Price?
A Tabela Price é um método de amortização de dívida onde as parcelas são fixas ao longo do período de pagamento. Isso significa que você pagará o mesmo valor todo mês.
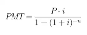
Como funciona o cálculo dos juros utilizando a Tabela Price?
Na Tabela Price, o valor das parcelas é calculado de forma que seja constante ao longo do período de pagamento. A fórmula para calcular a parcela (PMT) é:

Onde:
– ( PMT ) é o valor da parcela
– ( P ) é o valor principal (a quantia parcelada)
– ( i ) é a taxa de juros mensal (no caso, 2,923% ou 0,02923)
– ( n ) é o número de parcelas (no caso, 12 meses)
Quanto é o total de juros pagos em um parcelamento de 12 meses?
Em um parcelamento máximo de 12 meses com a taxa de 2,923% ao mês, o total de juros pagos será aproximadamente 20% do valor principal. Este percentual representa o custo total do parcelamento ao longo do período.
Como isso impacta o valor final que eu vou pagar?
Se você parcelar uma compra de R$ 1.000, por exemplo, com essa taxa de juros, ao final dos 12 meses, você terá pago um total de aproximadamente R$ 1.200. Isso inclui o valor principal de R$ 1.000 mais aproximadamente R$ 200 de juros.
Vale a pena parcelar a compra?
Isso depende da sua situação financeira e da necessidade de dividir o pagamento. Parcelar pode ser uma boa opção se você precisa distribuir o custo ao longo do tempo, mas é importante considerar os juros que serão pagos. Sempre avalie se você consegue pagar o valor total de uma vez.
NA PRÁTICA. UMA COMPRA PARCELADA DE R$ 1.000,00 FICARIA:
| Nº Parcelas | R$ Parcela | R$ Total | Juros | % Juros Real |
| 1 | R$ 1.000,00 | R$ 1.000,00 | R$ 0,00 | 0,00% |
| 2 | R$ 522,03 | R$ 1.044,06 | R$ 44,06 | 4,41% |
| 3 | R$ 353,01 | R$ 1.059,03 | R$ 59,03 | 5,90% |
| 4 | R$ 268,53 | R$ 1.074,12 | R$ 74,12 | 7,41% |
| 5 | R$ 217,87 | R$ 1.089,35 | R$ 89,35 | 8,93% |
| 6 | R$ 184,13 | R$ 1.104,78 | R$ 104,78 | 10,48% |
| 7 | R$ 160,04 | R$ 1.120,28 | R$ 120,28 | 12,03% |
| 8 | R$ 141,99 | R$ 1.135,92 | R$ 135,92 | 13,59% |
| 9 | R$ 127,97 | R$ 1.151,73 | R$ 151,73 | 15,17% |
| 10 | R$ 116,77 | R$ 1.167,70 | R$ 167,70 | 16,77% |
| 11 | R$ 107,62 | R$ 1.183,82 | R$ 183,82 | 18,38% |
| 12 | R$ 100,00 | R$ 1.200,00 | R$ 200,00 | 20,00% |
Este artigo foi útil?
Que bom!
Obrigado pelo seu feedback
Desculpe! Não conseguimos ajudar você
Obrigado pelo seu feedback
Feedback enviado
Agradecemos seu esforço e tentaremos corrigir o artigo